云南作为我国生态文明建设的排头兵,致力于筑牢国家西南生态安全屏障。近年来在建设和开发时尤其重视生物多样性以及生态资源的保护,生物多样性是绿水青山的重要组成部分。系统的生态调查是了解一个区域内现存生态资源的有效手段,在任何建设、开发之前,以及建设和建成运营过程中,都要进行系统的生态调查和监测。稗田风电项目生态调查由中国广核、云南高科环境保护科技有限公司委托建筑与设计学院土木系教师洪磊副教授负责,目的是获得风电场项目区的植被类型、群落成分和分布现状。植物资源主要调查维管束植物的组成情况,陆生脊椎动物主要调查两栖类、爬行类、鸟类和哺乳类等4个动物类群的组成情况。
比起经典的生态调查,该项目的不同之处在于利用多时效的遥感影像对植被类型进行区划,在实地调查的基础上,利用调查区采集于2023年7月分辨率1.2米的遥感影像(worldview)进行解译、判读,结合现地勾绘、验证、样方数据获得经验参数,确定各植被类型的边界,弄清调查区植被的类型、分布格局和规律,以及群落结构、物种组成、建群种特征等,并对调查区植被进行评价,绘制调查区植被景观矢量图,在该矢量数据的基础上根据地形、海拔、坡向、坡位、植被类型和主要组成成分的特点,采用分层抽样在各生境类型中设置样区、样带、样点。此方法在调查过程中提高了调查效率,以及在有效、较小的资源投入下,在较短时间内获得较为充分的调查结果。
建立解译标准划分生境类型
通过对调查区的遥感影像数据(来源于天地图影像数据worldview)目视解译、并结合实地核查,将大姚茅稗田二期风电场项目生态调查区生境分为阔叶林、针叶林、混交林、经济林、灌丛、农地、水域等7大类,再绘制生境矢量图层,其后根据各类生境的分布情况、规律、斑块形状以及海拔因素等,通过空间抽样的方法,为脊椎动物调查样带、样区、样点设置提供参考依据。
生境类别的GIS分析及景观格局图制作
生境类别的地理信息系统GIS分析及生境景观格局基于遥感影像的栅格矢量化图制作过程,首先将影像导入ArcGIS,加载实地调查的地面植被样点GNSS数据进行比对校准,通过目视解译建立矢量面图层,采用CGCS2000坐标输出专题地图。

茅稗田风电场生境景观格局
GIS技术支持下的样区、样带、样点设置
大姚县茅稗田片区地形(DEM,10分辨率)、调查区范围,结合遥感影像数据空间数据采集时间为2023年7月且空间分辨率为1.2米。采用分层抽样在各生境类型中设置样区、样带、样点。其结果显示,在GIS技术的加持下利用遥感影像DEM数据进行空间分析,是综合考虑植被组成、地形因素以及生物活动习性与活动节律,并充分考虑动物在运动过程中的能量消耗和选择的样区、样点。在少而有效的资源投入下,能够在一个调查周期获得较为充分的生态本底资源数据。GIS技术在生态因子的量化等方面具有极大的优势,在今后相似的调查项目中值得推广。


调查范围遥感影像、风机位及样带分布图
调查区样点、样带、样区分布图

调查区样点、样带、样区分布图
哺乳动物组成
在调查区内共记录到哺乳动物6目12科21种,在调查评价区仅7个监测位点,7台红外相机累计工作665台日,随着过长时间的增加,物种数增加趋于平稳,趋于缓和,当红外相机有效累积工作时长达到650台日左右时兽类物种的调查已然趋于饱和。
哺乳动物调查充分性检验
哺乳动物物种数量刚开始时快速上升,在记录的兽类个体数量达到150只左右时(相机有效工作时长350台日左右),物种累积曲线逐渐平缓,开始趋于饱和。当记录的兽类个体数量达到280只左右时(相机有效工作时长650台日左右),物种累积曲线平缓,趋于饱和,因此茅稗田风电项目的兽类野外调查是充分的。

兽类物种累积曲线
鸟类组成
根据调查结果,在茅稗田二期风电场项目生态调查区共有鸟类168种,分属于14目、51科,调查数据结果统计显示,随着调查频次的增加,物种数增加趋于平稳,趋于缓和,第4次调查结束鸟类物种的调查已饱和。
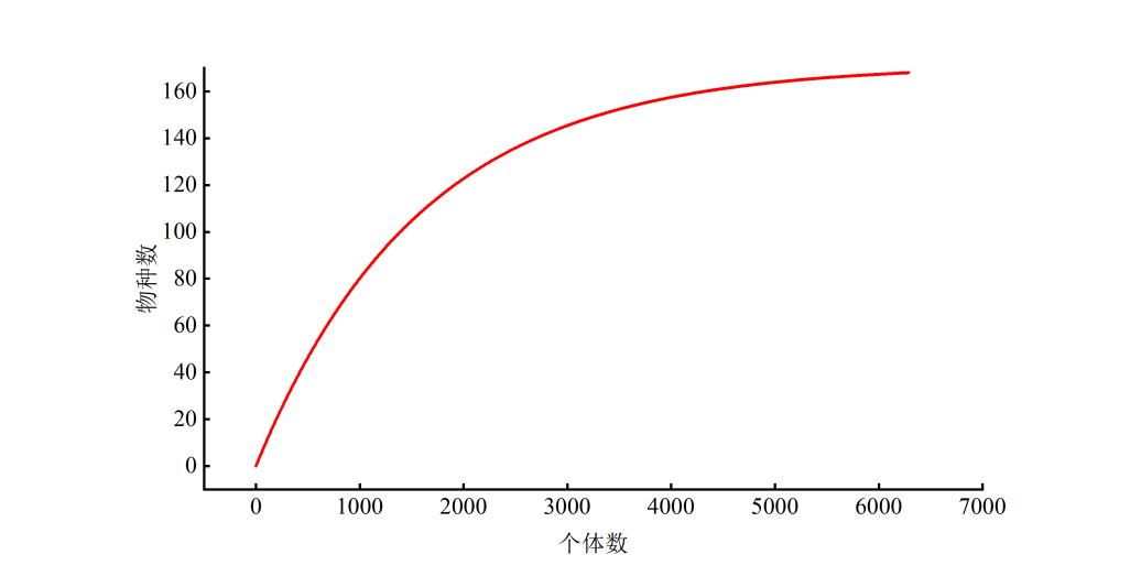
鸟类调查充分性检验
鸟类物种数量刚开始时急剧上升,在调查记录的鸟类个体数量达到3500只左右时(第2次调查结束),物种累积曲线逐渐平缓,开始趋于饱和,当调查记录的鸟类个体数量达到6000只左右时(第4次调查结束),物种累积曲线平缓,趋于饱和,曲线趋于平稳,说明调查充分。由此看出,茅稗田风电项目的鸟类的野外调查是充分的。

鸟类物种累积曲线
稗田风电项目生态调查在建筑与设计学院土木系的负责下,通过GIS技术的应用取得了显著的阶段性成果。该项目位于生态资源丰富的云南,旨在深入理解区域内的生物多样性,为风电场建设提供科学依据。在洪磊副教授领导下团队不仅提高了调查效率,还在资源投入有限的情况下迅速获得了全面的生态数据。这一方法不仅明确了植被类型和分布规律,还对群落结构和物种组成进行了深入分析,为绘制精确的植被景观矢量图提供了数据支撑,确保了风电项目在生态保护和可持续发展方面的科学性和前瞻性。
VR全景看校